二進制十進制間小數如何變換?很感興趣的朋友們趕緊來了解一下吧。
紙、筆
流程:
1.小數部分*2;
2.獲得的結果*2,取整數一部分。
3.獲得的結果*2,取整數一部分。
4.一直乘于2,直至小數位后為0。
5.從上向下先后排列。

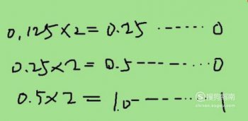
以0.125為例子,先乘于2,獲得0.25。整數金額一部分為0.
0.25再乘于2,獲得0.5.整數金額一部分為0.
0.5再乘于2,獲得1。整數金額一部分為1。
從上向下排列,獲得0.001。
流程:
1.第一位小數*1/2;二的負一次方。
2.第二位小數*1/4,二的負二次方,取整數一部分。
3.第三位小數*1/8,二的負三次方,取整數一部分。
4.依此類推,有幾個小數,就乘于二的負幾回方。
5.最終把全部的數加起來。
以0.1101為例子,1*1/2。
1*1/4.
0*1/8.
1*1/16,最終獲得的結果為0.8125。